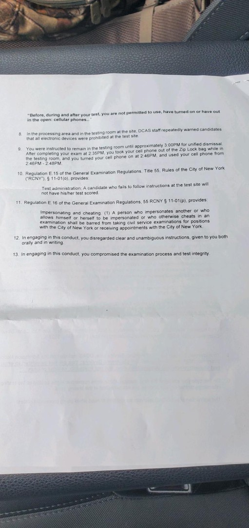
Are these letters of Disqualification from DCAS real? Or did someone have enough time in their day to make such crap. Stating people turned on their phones prior to dismissal, after they ended their exam.
-- Edited by No1isbetter on Wednesday 3rd of May 2023 06:27:24 PM
The hits just keep on coming from this mess of a test.
UncleC69 said
May 3, 2023
Can any of the legends on this board confirm ?
-- Edited by UncleC69 on Wednesday 3rd of May 2023 06:58:48 PM
Nypdnypd3100 said
May 3, 2023
Looks very legitimate. I think if someone were to make one up, it wouldnt look that official, be that detailed, and be that long.
-- Edited by Nypdnypd3100 on Wednesday 3rd of May 2023 06:56:39 PM
brooklynbacon said
May 3, 2023
I think youre crazy if you brought a cell phone into a test site. For all my exams i locked my phone in my glove box so nothing like this could ever happen.
HopeBoss said
May 3, 2023
I put mine in my little baggy at the Javis center
Futureauxiliary said
May 3, 2023
Each room had about 30 cameras you would be crazy to pick up your phone.
Beta86 said
May 3, 2023
After reading the letter, Seems like the issue was the cell phone use in the examination room. Did anybody else get a disqualification letter?
TransitCop said
May 3, 2023
Imagine you passed and then get disqualified for this.
No1isbetter said
May 3, 2023
The letter states he/she ended exam at 2:35 & turned on phone at 2:46 to 2:48. Why anyone would turn on that phone is beyond me but Im not here to insult anyone. Im sure it was a text to his/her significant other or children. But this is tough & really extreme. I was told 3 ppl so far, one with 80 & one with 85. This is hearsay. Thats all. No facts.
fiftyfouredp said
May 3, 2023
No1isbetter wrote:
The letter states he/she ended exam at 2:35 & turned on phone at 2:46 to 2:48. Why anyone would turn on that phone is beyond me but Im not here to insult anyone. Im sure it was a text to his/her significant other or children. But this is tough & really extreme. I was told 3 ppl so far, one with 80 & one with 85. This is hearsay. Thats all. No facts.
because we got that itchy trigger finger, can't sit still for 2 fucking seconds.
Braveheart said
May 3, 2023
If he/she has 15 years or more and failed it doesn't really matter. If he/she has under 15 years they screwed themselves from taking the next exam in about 4-5 years.
No1isbetter said
May 3, 2023
Im assuming if you got the letter it shouldve came in by today, or tomorrow. I wish we had more insight on this. I would sue DCAS. I would show proof that any usage wasnt ill-intended nor sharing of information. I dont think someone would study for 8 months to help someone out right before their exam. Ppl were already seated in their rooms & phones put away. This is a serious reach by DCAS.
skelgel said
May 3, 2023
No1isbetter wrote:
Im assuming if you got the letter it shouldve came in by today, or tomorrow. I wish we had more insight on this. I would sue DCAS. I would show proof that any usage wasnt ill-intended nor sharing of information. I dont think someone would study for 8 months to help someone out right before their exam. Ppl were already seated in their rooms & phones put away. This is a serious reach by DCAS.
I cant speak for this exam, but in the sgt exam plenty did it.
Futureauxiliary said
May 3, 2023
No1isbetter wrote:
Im assuming if you got the letter it shouldve came in by today, or tomorrow. I wish we had more insight on this. I would sue DCAS. I would show proof that any usage wasnt ill-intended nor sharing of information. I dont think someone would study for 8 months to help someone out right before their exam. Ppl were already seated in their rooms & phones put away. This is a serious reach by DCAS.
Rules are rules. It was clearly stated on the papers they gave us. Most people already busted their ass studying 4+hrs a day. Whats another 30-40 min without a phone. Ill-intended or not that will be extremely hard to prove.
Sergeant said
May 4, 2023
Futureauxiliary wrote:
No1isbetter wrote:
Im assuming if you got the letter it shouldve came in by today, or tomorrow. I wish we had more insight on this. I would sue DCAS. I would show proof that any usage wasnt ill-intended nor sharing of information. I dont think someone would study for 8 months to help someone out right before their exam. Ppl were already seated in their rooms & phones put away. This is a serious reach by DCAS.
Rules are rules. It was clearly stated on the papers they gave us. Most people already busted their ass studying 4+hrs a day. Whats another 30-40 min without a phone. Ill-intended or not that will be extremely hard to prove.
I hope that if its just him on the cell phone lets give some grace and hope he had a reason for being on it, if this is true.
-- Edited by Sergeant on Thursday 4th of May 2023 01:15:07 AM
I rise said
May 4, 2023
All this for one person
No1isbetter said
May 4, 2023
I rise wrote:
All this for one person
IMO I wouldnt expect ppl guilty of receiving that disqual letter from DCAS to step forward & get in on this chat. From what I know theres 3. Its a pretty serious topic.
nycop80 said
May 4, 2023
Follow directions, if he/she couldnt follow a simple rule of not going on phone, you arent supposed to even have one at the site. Sorry i feel no sympathy.
DRPapi1983 said
May 4, 2023
nycop80 wrote:
Follow directions, if he/she couldnt follow a simple rule of not going on phone, you arent supposed to even have one at the site. Sorry i feel no sympathy.
I agree. Im hearing DCAS will be sending out more letters this week.
Futureauxiliary said
May 4, 2023
The sky is blue.
brooklynbacon said
May 4, 2023
No1isbetter wrote:
Im assuming if you got the letter it shouldve came in by today, or tomorrow. I wish we had more insight on this. I would sue DCAS. I would show proof that any usage wasnt ill-intended nor sharing of information. I dont think someone would study for 8 months to help someone out right before their exam. Ppl were already seated in their rooms & phones put away. This is a serious reach by DCAS.
Sue for what? You signed a paper stating you would follow their rules. If you didnt follow them then you have no one to blame but yourself because you cant wait an hour to check out your Instagram.
No1isbetter said
May 4, 2023
Respectfully, some people have real life issues or family things going on that quite possibly couldnt wait. And if I sent a text out to my wife or my parents that was very urgent that Id fight it. There are things bigger than this exam life.
NauseousPBBN said
May 4, 2023
While the rules were very clear, and Im not defending anyone who couldnt wait, the general assumption was that we would be done by 1pm, which was the entrance time for session 2. The notice did not mention being held until 3pm..and as post above stated, some had wives and kids waiting at home expecting a call at 1..
Being penalized by disqualification AND being barred for next test is career ending for most.
If you wanted to be this petty then electronics shouldnt have been allowed in the building at all.
fiftyfouredp said
May 4, 2023
No1isbetter wrote:
Respectfully, some people have real life issues or family things going on that quite possibly couldnt wait. And if I sent a text out to my wife or my parents that was very urgent that Id fight it. There are things bigger than this exam life.
it can wait 30 seconds to walk out of the room Jeez
Beta86 said
May 4, 2023
Any rumor about how many disqualification letters went out ?
Ticonderoga said
May 5, 2023
No1isbetter wrote:
Im assuming if you got the letter it shouldve came in by today, or tomorrow. I wish we had more insight on this. I would sue DCAS. I would show proof that any usage wasnt ill-intended nor sharing of information. I dont think someone would study for 8 months to help someone out right before their exam. Ppl were already seated in their rooms & phones put away. This is a serious reach by DCAS.
Talking about this with others who took the test, they thought if someone completely failed the exam, like 40's and they had no intention of taking an exam again anymore, we could see them saying F it and taking out their phone. Then having others see him with their phone out and thinking "oh we can use our phones" and those others take out the phone.
DRPapi1983 said
May 5, 2023
Please do not discuss the exam or anything about these letters. PLEASE RESPECT THE GUIDELINES
Braveheart said
May 5, 2023
Bro, you can't sue. It Cleary states on notice of admission that cellphone usage is prohibited. If he/she had a legit emergency they should of asked the attendant, and I'm sure they would've escorted them to a private area so they can text or call someone.
No1isbetter said
May 5, 2023
Okay, no argument there. I think were all ready to move on from it. I was bringing it to the attention of the message board.
DRPapi1983 said
May 5, 2023
Theres an active discussion Investigation. Please refrain from discussion the exam. PLEASE RESPECT THE GUIDELINES
nycop80 said
May 5, 2023
Please respect Dr. PAPI.:)
Braveheart said
May 5, 2023
Can someone actually explain what the "Guidelines" are?
-- Edited by Braveheart on Friday 5th of May 2023 11:53:20 PM
Futureauxiliary said
May 5, 2023
Braveheart wrote:
Can someone actually explain what the "Guidelines" are?
-- Edited by Braveheart on Friday 5th of May 2023 11:53:20 PM
1. Don't disrespect the papi.
No1isbetter said
May 6, 2023
DrPapi sits in the Viper Room in the 26 & writes down License Plates every half hour. He needs to keep himself entertained.
nycop80 said
May 6, 2023
Braveheart wrote:
Can someone actually explain what the "Guidelines" are?
-- Edited by Braveheart on Friday 5th of May 2023 11:53:20 PM
1) No personal attacks, name-calling or threats against other users or individuals; no libelous, harassing or abusive statements; no submission of personal information or likenesses of other persons without their consent; no stalking.
2) No attacks on individuals or groups based on race, gender, sexuality, ethnicity or other intrinsic characteristics. 3) No content that is obscene, vulgar or sexually explicit. This includes masked words (****), intentional misspellings, acronyms and abbreviations. 4) No commercial product promotions or off-topic messages; no spam, chain letters, pyramid schemes or fraudulent or deceptive messages; no false claims of affiliation with any third party.
Chew11 said
May 11, 2023
Wow the doctor is subject to multiple offenses of guidelines 1-3. Theres also a guy pumping Toyotas in the captains thread so Id say papi is a victim of all four.
DRPapi1983 said
May 11, 2023
nycop80 wrote:
Braveheart wrote:
Can someone actually explain what the "Guidelines" are?
-- Edited by Braveheart on Friday 5th of May 2023 11:53:20 PM
1) No personal attacks, name-calling or threats against other users or individuals; no libelous, harassing or abusive statements; no submission of personal information or likenesses of other persons without their consent; no stalking.
2) No attacks on individuals or groups based on race, gender, sexuality, ethnicity or other intrinsic characteristics. 3) No content that is obscene, vulgar or sexually explicit. This includes masked words (****), intentional misspellings, acronyms and abbreviations. 4) No commercial product promotions or off-topic messages; no spam, chain letters, pyramid schemes or fraudulent or deceptive messages; no false claims of affiliation with any third party.
Thanks for posting the guidelines.
Braveheart said
May 12, 2023
DRPapi1983 wrote:
nycop80 wrote:
Braveheart wrote:
Can someone actually explain what the "Guidelines" are?
-- Edited by Braveheart on Friday 5th of May 2023 11:53:20 PM
1) No personal attacks, name-calling or threats against other users or individuals; no libelous, harassing or abusive statements; no submission of personal information or likenesses of other persons without their consent; no stalking.
2) No attacks on individuals or groups based on race, gender, sexuality, ethnicity or other intrinsic characteristics. 3) No content that is obscene, vulgar or sexually explicit. This includes masked words (****), intentional misspellings, acronyms and abbreviations. 4) No commercial product promotions or off-topic messages; no spam, chain letters, pyramid schemes or fraudulent or deceptive messages; no false claims of affiliation with any third party.
Thanks for posting the guidelines.
Thanks. However, this doesn't pertain to most of the post that states "Respect the guidelines. "
Are these letters of Disqualification from DCAS real? Or did someone have enough time in their day to make such crap. Stating people turned on their phones prior to dismissal, after they ended their exam.
-- Edited by No1isbetter on Wednesday 3rd of May 2023 06:27:24 PM
Can any of the legends on this board confirm ?
-- Edited by UncleC69 on Wednesday 3rd of May 2023 06:58:48 PM
Looks very legitimate. I think if someone were to make one up, it wouldnt look that official, be that detailed, and be that long.
-- Edited by Nypdnypd3100 on Wednesday 3rd of May 2023 06:56:39 PM
After reading the letter, Seems like the issue was the cell phone use in the examination room. Did anybody else get a disqualification letter?
because we got that itchy trigger finger, can't sit still for 2 fucking seconds.
I cant speak for this exam, but in the sgt exam plenty did it.
Rules are rules. It was clearly stated on the papers they gave us. Most people already busted their ass studying 4+hrs a day. Whats another 30-40 min without a phone. Ill-intended or not that will be extremely hard to prove.
I hope that if its just him on the cell phone lets give some grace and hope he had a reason for being on it, if this is true.
-- Edited by Sergeant on Thursday 4th of May 2023 01:15:07 AM
IMO I wouldnt expect ppl guilty of receiving that disqual letter from DCAS to step forward & get in on this chat. From what I know theres 3. Its a pretty serious topic.
I agree. Im hearing DCAS will be sending out more letters this week.
Sue for what? You signed a paper stating you would follow their rules. If you didnt follow them then you have no one to blame but yourself because you cant wait an hour to check out your Instagram.
Being penalized by disqualification AND being barred for next test is career ending for most.
If you wanted to be this petty then electronics shouldnt have been allowed in the building at all.
it can wait 30 seconds to walk out of the room Jeez
Any rumor about how many disqualification letters went out ?
Talking about this with others who took the test, they thought if someone completely failed the exam, like 40's and they had no intention of taking an exam again anymore, we could see them saying F it and taking out their phone. Then having others see him with their phone out and thinking "oh we can use our phones" and those others take out the phone.
Bro, you can't sue. It Cleary states on notice of admission that cellphone usage is prohibited. If he/she had a legit emergency they should of asked the attendant, and I'm sure they would've escorted them to a private area so they can text or call someone.
Can someone actually explain what the "Guidelines" are?
-- Edited by Braveheart on Friday 5th of May 2023 11:53:20 PM
1. Don't disrespect the papi.
1) No personal attacks, name-calling or threats against other users or individuals; no libelous, harassing or abusive statements; no submission of personal information or likenesses of other persons without their consent; no stalking.
2) No attacks on individuals or groups based on race, gender, sexuality, ethnicity or other intrinsic characteristics.
3) No content that is obscene, vulgar or sexually explicit. This includes masked words (****), intentional misspellings, acronyms and abbreviations.
4) No commercial product promotions or off-topic messages; no spam, chain letters, pyramid schemes or fraudulent or deceptive messages; no false claims of affiliation with any third party.
Thanks for posting the guidelines.
Thanks. However, this doesn't pertain to most of the post that states "Respect the guidelines. "