Hey guys post questions that you think need to be protested. We can collectively fight them together. There are a couple i think should be challenged
whereismy70 said
Aug 25, 2017
Guys the DOA surrogate court question should be challenged. Albany can not be the answer because the DOA lived in westchester. The family is supposed to go where the DOA resided. in this case, westchester county surrogate court would be the answer. was Westchester county an option? i only remember kings,NY,Albany and westchester county does have a surrogate court.
whereismy70 said
Aug 25, 2017
also, the cpsp in the 105 cant be right. how can you have that classification without a perp? it was vague with that regard. no perp was mentioned, everything else happened outside of the city.
monkeybones said
Aug 25, 2017
How the protest session works is you can only Protest the questions YOU got incorrect. You can no longer protest the entire test.
whereismy70 said
Aug 25, 2017
and how can she be the c/v in two counties? two reports? because she would be the c/v for the original 61 in her resident county outside of the city. also for the cpsp in nyc? wtf isnt it psny or the credit card company for the cpsp? the biach should be covered by the cc company.
PD2FD said
Aug 25, 2017
whereismy70 wrote:
also, the cpsp in the 105 cant be right. how can you have that classification without a perp? it was vague with that regard. no perp was mentioned, everything else happened outside of the city.
Read the crime reference guide and you will see why it's CPSP. Trust me, I got it wrong too but the answer is in the CRG. That question was designed for those that read the crime reference guide.
TooSucio4u said
Aug 25, 2017
Hard fighting a question when it is almost word for word with the crime reference guide
Samiam32 said
Aug 25, 2017
DOA answer was Kings County. DOA resides out of the city then its surrogate court location where property is vouchered
RS2323 said
Aug 25, 2017
Out of city or state? Why do people talk about stuff they have no idea about?
PD2FD said
Aug 25, 2017
Samiam32 wrote:
DOA answer was Kings County. DOA resides out of the city then its surrogate court location where property is vouchered
WRONG !!!! It's the county of where you live if you live in New York State...out of state is where the property is located
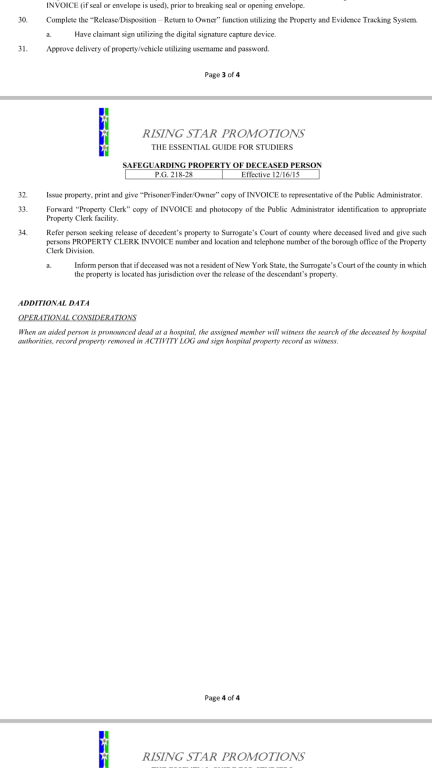
The guy LIVED in NYS hence the answer was where he lived
whereismy70 said
Aug 25, 2017
Guys you are wrong read operation order 45 of 2016. Its where the DOA lives.. (westchester) if out of state then its where its vouchered. But westchester is not out of state. Its out of city. We can contest this one. Unless westchester county was a choice.
ohnoes said
Aug 25, 2017
I think the 61 questions in the in basket is challengeable. The answer was the burg of the ups truck. But on the complainant information on page 3 of the 61 the owner of the vehicle was usps (the federal govt) hence it's not a commercial truck. No where did it say it was a commercial truck. The 61 was ambiguous.
Zeph said
Aug 25, 2017
If the person does not live in the city. i think the person should be referred where the property is located.
HeetMiser said
Aug 25, 2017
Zeph wrote:
If the person does not live in the city. i think the person should be referred where the property is located.
out of state not out of city.
rookiebit_h said
Aug 25, 2017
he lived in albany
Terrystop said
Aug 25, 2017
Yea he lived in Albany ur confusing the ID THEFT
emilchik80 said
Aug 25, 2017
whereismy70 wrote:
Guys you are wrong read operation order 45 of 2016. Its where the DOA lives.. (westchester) if out of state then its where its vouchered. But westchester is not out of state. Its out of city. We can contest this one. Unless westchester county was a choice.
Hey could some shut this annoying guy up and refer him to PG 218-28 step 34. DOA's residence was Albany, his niece's residence was Westchester who wanted to pick up DOA's Rolex watch
Was this procedure from 218? If so the answer isnt in that procedure.
FranknBeans said
Aug 25, 2017
You missed the heading when you posted that procedure it says property not yet forwarded to the property clerk AND a public administrator is present.
If the question locked you into 218-28 its a throwout the answer isnt in the procedure
-- Edited by FranknBeans on Friday 25th of August 2017 03:56:15 PM
ajvic21 said
Aug 25, 2017
Possible double answer......there was a question regarding 205 LOD....which had the platoon commander as the acting desk officer......in the stem of the question, the cop was hurt, and the patrol supervisor comes into the command stating he witnessed the injury.....however the answer choices I found myself picking between was between having the platoon commander (as the desk officer) finding a second supervisor to do part A or whether selecting the platoon commander to do part A or B was the correct choice.....after discussing it with the test takers today.....many have complained as a possible double answer.....with the given fact that the question never deliberately had the platoon commander as "available" even though he would do Part A and B of the LOD report, however, the question had him as the Platoon Commander being the Desk officer.....which is in fact is responsible for finding someone to do Part A but the question didn't direct you to do one duty over another, nor did it deem platoon commander has "available" even though he was in fact working.....
FranknBeans said
Aug 25, 2017
ajvic21 wrote:
Possible double answer......there was a question regarding 205 LOD....which had the platoon commander as the acting desk officer......in the stem of the question, the cop was hurt, and the patrol supervisor comes into the command stating he witnessed the injury.....however the answer choices I found myself picking between was between having the platoon commander (as the desk officer) finding a second supervisor to do part A or whether selecting the platoon commander to do part A or B was the correct choice.....after discussing it with the test takers today.....many have complained as a possible double answer.....with the given fact that the question never deliberately had the platoon commander as "available" even though he would do Part A and B of the LOD report, however, the question had him as the Platoon Commander being the Desk officer.....which is in fact is responsible for finding someone to do Part A but the question didn't direct you to do one duty over another, nor did it deem platoon commander has "available" even though he was in fact working.....
If i remember correctly he was a patrol platoon commander. Theyre always on the desk as per the guide. Therefore he is available.
RS2323 said
Aug 25, 2017
How in the world can you argue he isn't available because he's on the desk? What about when no supv is available and the desk officer does part a...hes on the desk, ergo available to do it!
-- Edited by RS2323 on Friday 25th of August 2017 04:35:04 PM
Team J said
Aug 25, 2017
FranknBeans wrote:
You missed the heading when you posted that procedure it says property not yet forwarded to the property clerk AND a public administrator is present.
If the question locked you into 218-28 its a throwout the answer isnt in the procedure
-- Edited by FranknBeans on Friday 25th of August 2017 03:56:15 PM
I agree. Based on the procedure this question might be a possible throw-out.
Zeph said
Aug 25, 2017
If Albany county was a choice then the DOA property question can not be contested.
Zeph said
Aug 25, 2017
I mess that one because I thought it was out of the city.
BxPogiBoy said
Aug 25, 2017
okay you guys say the platoon commander is available ? How can he conduct an investigation for an injury that occurred outside the precinct ? Excuse himself from the desk and go outside ? I considered him unavailable so he finds someone to do Part A. I asked Mike Yanosik about it and he told me it can go both ways.
Zeph said
Aug 25, 2017
I don't think the question 218.28 has anything to do with the heading. The heading would be applicable if he was actually releasing the property. Since all he is doing is a referral, the conditions are met. Trust me, I'd love that to happen because I got it wrong. I just don't see it.
nupecop said
Aug 25, 2017
Would that be considered an emergency so he is allowed to leave the desk as long as he makes a command log entry
redcons2 said
Aug 25, 2017
"Witness Statements"
Zeph said
Aug 25, 2017
The only thing that would require him to go to the scene is to talk to witnesses. Again, a witness could be brought to the station house.
TimeForChange said
Aug 25, 2017
Witness was the patrol sergeant. Didn't the question state something like she came into the sh to inform the DO/PC that she witnessed the cop got struck by the bike while walking to his post? I believe that question is solid. The Lt was physically on the desk hence he was available. Wasn't like he was at a meeting or out of the cmd.
Zeph said
Aug 25, 2017
What do you guys think about the question where two passengers got assaulted and the taxi driver robbed?
63ASAP said
Aug 25, 2017
ohnoes wrote:
I think the 61 questions in the in basket is challengeable. The answer was the burg of the ups truck. But on the complainant information on page 3 of the 61 the owner of the vehicle was usps (the federal govt) hence it's not a commercial truck. No where did it say it was a commercial truck. The 61 was ambiguous.
1) 100%. I noticed this, too. I think they meant to keep it as USPS (government entity) in order to trick us, since it would have to be government owned property that was stolen for it to be burglary. By putting UPS in the story, by accident, they created a double answer. Stealing a package from a UPS truck (commercial entity), is most definitely a burglary. Reference: Page 23 of the Crime Complaint Guide. I went with the Burg because I was sure it was an upgraded charge due to the age, but I haven't been able to find it.
2) Also, what is the consensus on the Uber? I went with one (1) 61. While this is transit specific, in theory, it's the same concept. From Page 8 of the Crime Complaint Guide:
"In situations with multiple victims within one train car, that occurs while the train is at a station or between two station stops, one complaint report will be prepared except for homicides, sex offenses or assaults as stated above (the "except if incidental" list). A single train car is similar to a small room in which all persons within that room would most likely be aware of or affected by the crime with little chance to escape the circumstance."
3) The lost shield. I bombed it, like a moron. But shouldn't the right answer (Call IAB) be the duty of the 67 Desk Officer, since that's where it occurred? Could be wrong here, just looking to see what everyone is thinking.
Otherwise, I saw a solid exam. As a victim of 2015, I appreciate this one. They got it right here. As for those saying it was "easy", they are now the same ones saying they dropped a lot of questions. I'd say it was a good mix of difficulty and very fair.
-- Edited by 63ASAP on Friday 25th of August 2017 06:08:16 PM
-- Edited by 63ASAP on Friday 25th of August 2017 06:15:31 PM
-- Edited by 63ASAP on Friday 25th of August 2017 06:17:24 PM
Jay77 said
Aug 25, 2017
The concurrent jurisdiction question . They didn't tell you the age of the perp. While you can assume the aunt is over 16 because of the relationship, in order to determine concurrent jurisdiction, you need to know the age of the perp.
FranknBeans said
Aug 25, 2017
63ASAP wrote:
ohnoes wrote:
I think the 61 questions in the in basket is challengeable. The answer was the burg of the ups truck. But on the complainant information on page 3 of the 61 the owner of the vehicle was usps (the federal govt) hence it's not a commercial truck. No where did it say it was a commercial truck. The 61 was ambiguous.
1) 100%. I noticed this, too. I think they meant to keep it as USPS (government entity) in order to trick us, since it would have to be government owned property that was stolen for it to be burglary. By putting UPS in the story, by accident, they created a double answer. Stealing a package from a UPS truck (commercial entity), is most definitely a burglary. Reference: Page 23 of the Crime Complaint Guide. I went with the Assault 3 because I was sure it was an upgraded charge due to the age, but I haven't been able to find it.
2) Also, what is the consensus on the Uber? I went with one (1) 61. While this is transit specific, in theory, it's the same concept. From Page 8 of the Crime Complaint Guide:
"In situations with multiple victims within one train car, that occurs while the train is at a station or between two station stops, one complaint report will be prepared except for homicides, sex offenses or assaults as stated above (the "except if incidental" list). A single train car is similar to a small room in which all persons within that room would most likely be aware of or affected by the crime with little chance to escape the circumstance."
3) The lost shield. I bombed it, like a moron. But shouldn't the right answer (Call IAB) be the duty of the 67 Desk Officer, since that's where it occurred? Could be wrong here, just looking to see what everyone is thinking.
Otherwise, I saw a solid exam. As a victim of 2015, I appreciate this one. They got it right here. As for those saying it was "easy", they are now the same ones saying they dropped a lot of questions. I'd say it was a good mix of difficulty and very fair.
Incidental- accompanying but not a major part of something.
The lost shield if I remember correct its where its reported.
-- Edited by FranknBeans on Friday 25th of August 2017 06:18:30 PM
FranknBeans said
Aug 25, 2017
The guide is poorly written in many parts. Using Incidental in the separate 61 rule isnt the best way to clearly show what they mean. It should say each victim of an assault unless COUPLED with a robbery or sex offense.
The test example if I remember correctly, the robbery was incidental to the assault. The answer should be 3. But its not...
-- Edited by FranknBeans on Friday 25th of August 2017 06:49:41 PM
TransitJoe said
Aug 25, 2017
L/S Shield and ID is reported to D/O Pct of Occurence. Which wouldve been the 67. But that wasnt an option so I was confused also. I put that the IAB Log should be documented in the details of the 61. WHich is a true statement. Just dont remember if it said which D/O should do it or if it was a general statement.
TransitJoe said
Aug 25, 2017
And i definitely think that the question with thr P/C as the D/O is a double answer. It would have to define when the P/C is considered not available. I personally believe that if he is at the Desk, he is unavailable to leave the SH and get video, find witnesses, etc.
FranknBeans said
Aug 25, 2017
Um if I remember correctly didnt the cop lose the shield in some other command? He was on his way to work but lost it in another command.
ROCKY IV SKIN said
Aug 25, 2017
Protest the Guide!
ROCKY IV SKIN said
Aug 25, 2017
FranknBeans wrote:
The guide is poorly written in many parts.
Protest the Guide!
crappants said
Aug 25, 2017
TransitJoe wrote:
And i definitely think that the question with thr P/C as the D/O is a double answer. It would have to define when the P/C is considered not available. I personally believe that if he is at the Desk, he is unavailable to leave the SH and get video, find witnesses, etc.
Platoon commander is always the DESK OFFICER IN PSB COMMANDS ACCORDING TO THE PATROL GUIDE . Don't think u r going to win that one
crappants said
Aug 25, 2017
TransitJoe wrote:
And i definitely think that the question with thr P/C as the D/O is a double answer. It would have to define when the P/C is considered not available. I personally believe that if he is at the Desk, he is unavailable to leave the SH and get video, find witnesses, etc.
TRANSIT JOE IN PSB COMMANDS THE PLATOON COMMANDER IS ALWAYS AVAILABLE AS THE DESK OFFICER WHERE HE BELONGS
sig226 said
Aug 25, 2017
That's 1 61 for Rob1
whats the outcome with surrogate court. I chose send them to kings county Where the property was.
Also was it usps truck or ups truck inbasket. I hear cv said one thing but cop put it differently in the details
63ASAP said
Aug 25, 2017
sig226 wrote:
That's 1 61 for Rob1
whats the outcome with surrogate court. I chose send them to kings county Where the property was.
Also was it usps truck or ups truck inbasket. I hear cv said one thing but cop put it differently in the details
It was Albany, 100% clear in the guide. I, like many, put Kings.
Yeah, they put UPS in story and USPS in C/V section. Fairly certain that was a typo and they still meant for it to be Burg, but I can see a potential double there if the Assault 3 was their answer.
What would the Assault 3 have been? The poorly worded and oddly placed comma under Assault 2, sub. 8 in the Penal Law leads me to believe it would be that charge (can you intend PI but recklessly cause SPI in one offense? I feel an "or" belongs there). I dunno, maybe I'm overthinking. I chose Burg.
-- Edited by 63ASAP on Friday 25th of August 2017 10:45:53 PM
-- Edited by 63ASAP on Friday 25th of August 2017 11:27:45 PM
sig226 said
Aug 25, 2017
63ASAP wrote:
sig226 wrote:
That's 1 61 for Rob1
whats the outcome with surrogate court. I chose send them to kings county Where the property was.
Also was it usps truck or ups truck inbasket. I hear cv said one thing but cop put it differently in the details
It was Albany, 100% clear in the guide. I, like many, put Kings.
Yeah, they put UPS in story and USPS in C/V section. Fairly certain that was a typo and they still meant for it to be Burg, but I can see a potential double there if the Assault 3 was their answer.
What would the Assault 3 have been? The poorly worded and oddly placed comma under Assault 2, sub. 8 in the Penal Law leads me to believe it would be that charge (can you intend PI but recklessly cause SPI in one offense? I feel an "or" belongs there). I dunno, maybe I'm overthinking. I chose Burg.
-- Edited by 63ASAP on Friday 25th of August 2017 10:45:53 PM
-- Edited by 63ASAP on Friday 25th of August 2017 10:46:24 PM
Question with 61's sounds like a double answer. I believe the kid was 10yo and for it to be assault 2 he had to have spi
that typo thing is whole game changer.i feel that's where they tried to confuse us
-- Edited by sig226 on Friday 25th of August 2017 10:51:45 PM
FranknBeans said
Aug 25, 2017
Which procedure is that in that says that? The one that people keep referencing has a header.
Which procedure is that in that says that? The one that people keep referencing has a header.
Pretty sure that just applies up to line 33, since the header mentions releasing property at the SH. Line 34 is the final step which the rest of the procedure doesn't cover, so it's sort of like a standalone rule with no qualifiers. That's how I read it, but then again who knows with this book!!
-- Edited by 63ASAP on Friday 25th of August 2017 11:00:38 PM
sig226 said
Aug 25, 2017
not for nothing it just doesn't make a sense. Like this whole job.
Guy is looking for the property, prop is in bk, and I am gonna send his ass to Albany with pci? Lol
Hey guys post questions that you think need to be protested. We can collectively fight them together. There are a couple i think should be challenged
Guys the DOA surrogate court question should be challenged. Albany can not be the answer because the DOA lived in westchester. The family is supposed to go where the DOA resided. in this case, westchester county surrogate court would be the answer. was Westchester county an option? i only remember kings,NY,Albany and westchester county does have a surrogate court.
and how can she be the c/v in two counties? two reports? because she would be the c/v for the original 61 in her resident county outside of the city. also for the cpsp in nyc? wtf
isnt it psny or the credit card company for the cpsp? the biach should be covered by the cc company.
Read the crime reference guide and you will see why it's CPSP. Trust me, I got it wrong too but the answer is in the CRG. That question was designed for those that read the crime reference guide.
WRONG !!!! It's the county of where you live if you live in New York State...out of state is where the property is located
The guy LIVED in NYS hence the answer was where he lived
If the person does not live in the city. i think the person should be referred where the property is located.
out of state not out of city.
Hey could some shut this annoying guy up and refer him to PG 218-28 step 34. DOA's residence was Albany, his niece's residence was Westchester who wanted to pick up DOA's Rolex watch
You missed the heading when you posted that procedure it says property not yet forwarded to the property clerk AND a public administrator is present.
If the question locked you into 218-28 its a throwout the answer isnt in the procedure
-- Edited by FranknBeans on Friday 25th of August 2017 03:56:15 PM
If i remember correctly he was a patrol platoon commander. Theyre always on the desk as per the guide. Therefore he is available.
How in the world can you argue he isn't available because he's on the desk? What about when no supv is available and the desk officer does part a...hes on the desk, ergo available to do it!
-- Edited by RS2323 on Friday 25th of August 2017 04:35:04 PM
I agree. Based on the procedure this question might be a possible throw-out.
okay you guys say the platoon commander is available ? How can he conduct an investigation for an injury that occurred outside the precinct ? Excuse himself from the desk and go outside ? I considered him unavailable so he finds someone to do Part A. I asked Mike Yanosik about it and he told me it can go both ways.
I don't think the question 218.28 has anything to do with the heading. The heading would be applicable if he was actually releasing the property. Since all he is doing is a referral, the conditions are met. Trust me, I'd love that to happen because I got it wrong. I just don't see it.
1) 100%. I noticed this, too. I think they meant to keep it as USPS (government entity) in order to trick us, since it would have to be government owned property that was stolen for it to be burglary. By putting UPS in the story, by accident, they created a double answer. Stealing a package from a UPS truck (commercial entity), is most definitely a burglary. Reference: Page 23 of the Crime Complaint Guide. I went with the Burg because I was sure it was an upgraded charge due to the age, but I haven't been able to find it.
2) Also, what is the consensus on the Uber? I went with one (1) 61. While this is transit specific, in theory, it's the same concept. From Page 8 of the Crime Complaint Guide:
"In situations with multiple victims within one train car, that occurs while the train is at a station or between two station stops, one complaint report will be prepared except for homicides, sex offenses or assaults as stated above (the "except if incidental" list). A single train car is similar to a small room in which all persons within that room would most likely be aware of or affected by the crime with little chance to escape the circumstance."
3) The lost shield. I bombed it, like a moron. But shouldn't the right answer (Call IAB) be the duty of the 67 Desk Officer, since that's where it occurred? Could be wrong here, just looking to see what everyone is thinking.
Otherwise, I saw a solid exam. As a victim of 2015, I appreciate this one. They got it right here. As for those saying it was "easy", they are now the same ones saying they dropped a lot of questions. I'd say it was a good mix of difficulty and very fair.
-- Edited by 63ASAP on Friday 25th of August 2017 06:08:16 PM
-- Edited by 63ASAP on Friday 25th of August 2017 06:15:31 PM
-- Edited by 63ASAP on Friday 25th of August 2017 06:17:24 PM
Incidental- accompanying but not a major part of something.
The lost shield if I remember correct its where its reported.
-- Edited by FranknBeans on Friday 25th of August 2017 06:18:30 PM
The guide is poorly written in many parts. Using Incidental in the separate 61 rule isnt the best way to clearly show what they mean. It should say each victim of an assault unless COUPLED with a robbery or sex offense.
The test example if I remember correctly, the robbery was incidental to the assault. The answer should be 3. But its not...
-- Edited by FranknBeans on Friday 25th of August 2017 06:49:41 PM
Protest the Guide!
Protest the Guide!
Platoon commander is always the DESK OFFICER IN PSB COMMANDS ACCORDING TO THE PATROL GUIDE . Don't think u r going to win that one
TRANSIT JOE IN PSB COMMANDS THE PLATOON COMMANDER IS ALWAYS AVAILABLE AS THE DESK OFFICER WHERE HE BELONGS
That's 1 61 for Rob1
whats the outcome with surrogate court. I chose send them to kings county Where the property was.
Also was it usps truck or ups truck inbasket. I hear cv said one thing but cop put it differently in the details
It was Albany, 100% clear in the guide. I, like many, put Kings.
Yeah, they put UPS in story and USPS in C/V section. Fairly certain that was a typo and they still meant for it to be Burg, but I can see a potential double there if the Assault 3 was their answer.
What would the Assault 3 have been? The poorly worded and oddly placed comma under Assault 2, sub. 8 in the Penal Law leads me to believe it would be that charge (can you intend PI but recklessly cause SPI in one offense? I feel an "or" belongs there). I dunno, maybe I'm overthinking. I chose Burg.
-- Edited by 63ASAP on Friday 25th of August 2017 10:45:53 PM
-- Edited by 63ASAP on Friday 25th of August 2017 11:27:45 PM
Question with 61's sounds like a double answer. I believe the kid was 10yo and for it to be assault 2 he had to have spi
that typo thing is whole game changer.i feel that's where they tried to confuse us
-- Edited by sig226 on Friday 25th of August 2017 10:51:45 PM
Which procedure is that in that says that? The one that people keep referencing has a header.
Pretty sure that just applies up to line 33, since the header mentions releasing property at the SH. Line 34 is the final step which the rest of the procedure doesn't cover, so it's sort of like a standalone rule with no qualifiers. That's how I read it, but then again who knows with this book!!
-- Edited by 63ASAP on Friday 25th of August 2017 11:00:38 PM
Guy is looking for the property, prop is in bk, and I am gonna send his ass to Albany with pci? Lol